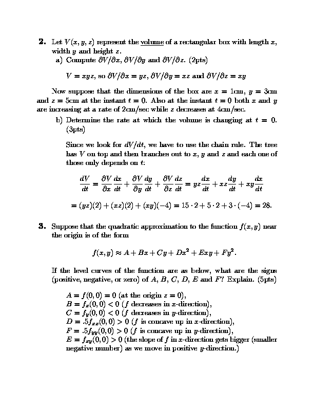
Solutions

Following is a list of brief solutions to quizzes, homeworks and practice exams so that you can check whether your solutions went in the right direction and where you possibly went wrong. Your solutions should provide more details and the appropriate graphs in order to receive full credit. If the solutions provided do not make sense to you I strongly urge you to ask me in the lab or during an office hour to work out the whole problem for you. A number in square brackets next to a problem indicates how many points the problem was worth in the assignment.

The files of the right of the ":" are .gif files and you should now be able to read them with your browser. The other files are still .dvi

  • Homework 1: 11.1, 11.2
  • Homework 2: 11.3, 11.4, 11.5
  • Quiz 1: Quiz 1
  • Homework 3: 12.1, 12.2, 12.3
  • Quiz 2: Quiz 2
  • Homework 4: 12.4, 13.1, 13.2
  • Practice Exam 1: Part 1, Part 2
  • Homework 5: 13.3, 13.4, 13.5, 13.6
  • Quiz 3: Page 1, Page 2
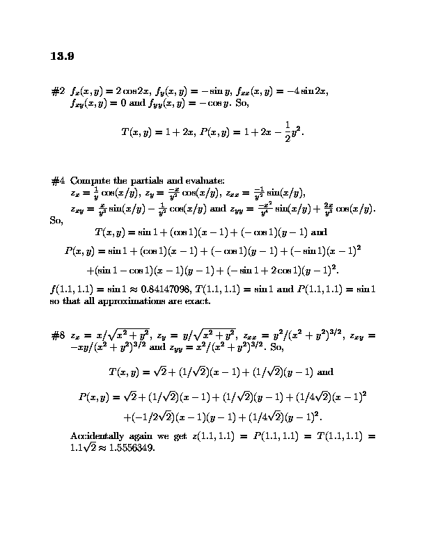
  • Homework 6: 13.7, 13.9
  • Homework 7: 14.1, 14.1, 14.2, 14.2
  • Practice Exam 2: Part 1, Part 2
  • Homework 7.5: 14.3
  • Homework 8: 15.1, 15.2, 15.2
  • Homework 9: 15.3, 15.5, 15.6
  • Quiz 4: Quiz 4
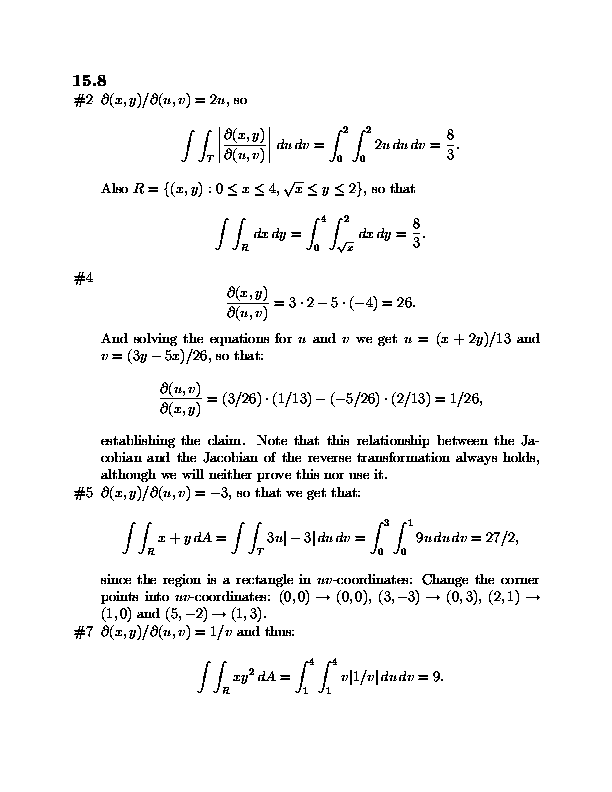
  • Homework 10: 15.8, 15.R, 16.1/2, 16.2/3
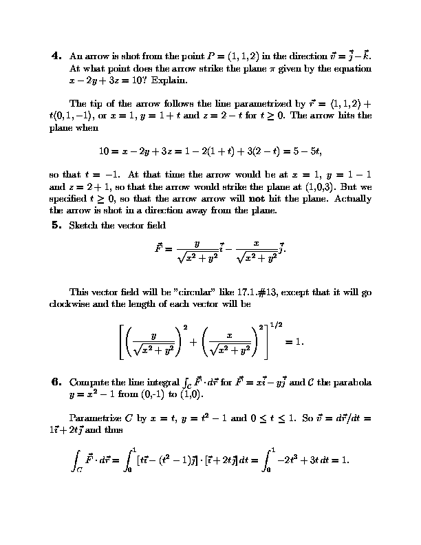
  • Homework 11: 17.1/2, 18.1, 18.2
  • Practice Exam 3: Part 1, Part 2